近日,农学院张吉旺教授团队在《Agricultural Water Management》在线发表了题为“The effects of high temperature, drought, and their combined stresses on the photosynthesis and senescence of summer maize”的研究论文。毕业研究生胡娟博士、赵新宇硕士和谷利敏博士为该论文的第一作者,张吉旺教授和任佰朝副教授为该论文的通讯作者。
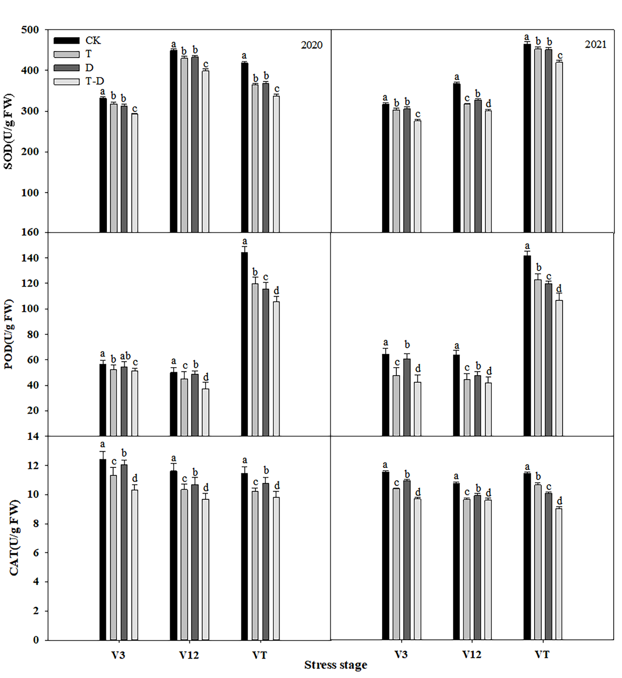
黄淮海地区,夏玉米生长季高温、干旱及其复合灾害频发,严重限制该地区玉米生产。该团队通过设置不同生育时期高温、干旱及高温干旱复合胁迫处理,以正常水分管理和温度条件为对照,研究高温、干旱及其复合胁迫对夏玉米光合、衰老特性及产量形成的影响,探讨高温、干旱及其复合胁迫导致玉米减产的生理机制。研究表明,不同生育时期高温、干旱及其复合胁迫显著降低夏玉米叶片抗氧化酶活性和可溶性蛋白含量,导致MDA含量增加,细胞膜受损加剧,植株衰老加速。相应地,夏玉米叶片RuBPcase和PEPCase活性降低,即高温、干旱及其复合胁迫降低了叶片捕捉和利用光能的能力,进而导致叶片光合速率和干物质积累量显著降低。此外,高温、干旱及其复合胁迫可不同程度抑制光合同化物向雌穗转运,其中VT时期高温对其影响最为显著,而干旱会加剧高温胁迫对同化物向穗部转运的抑制作用。因此,VT时期高温、干旱及其复合胁迫对夏玉米产量影响最为显著,其次是V12时期,V3时期影响最小。此外,不同生育时期高温、干旱复合胁迫对夏玉米生长发育及产量的影响均大于单一胁迫,但影响幅度小于两单一胁迫的加和,即高温、干旱对夏玉米生长有一定程度的正交互作用,这可能与作物的自我调节能力有关。

图1 不同生育时期高温、干旱及其复合胁迫对夏玉米抗氧化酶活性的影响

图2 不同生育时期高温、干旱及其复合胁迫对夏玉米可溶性蛋白的影响
该研究解析了不同生育时期夏玉米叶片抗氧化酶、光合酶活性,光合同化物合成与分配特性对高温、干旱及其复合胁迫的差异响应,对黄淮海地区夏玉米抗逆栽培生产具有重要意义。
该研究得到国家自然科学基金项目、山东省博士后创新计划、国家现代农业产业技术体系建设专项、国家重点研发计划和华北作物改良与调控国家重点实验室的资助。
论文链接:https://doi.org/10.1016/j.agwat.2023.108525
编 辑:万 千
审 核:贾 波








